用于生物医学等科研用的PEG试剂

4006005220
19821522967
产品分类
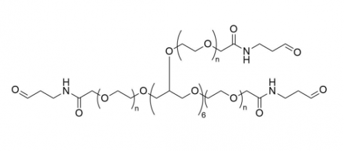
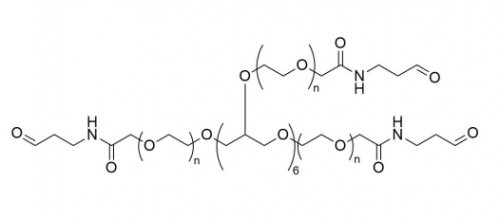
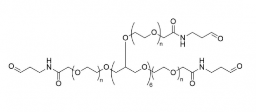
醛PEG是一种胺反应性PEG衍生物,可用于通过可用的胺基团修饰生物分子。醛基与赖氨酸残基的ε-胺与N端的α-胺之间的反应产生一个中间席夫碱。用氢化物进一步还原将形成稳定的C-N键。 PEG醛在5.5至9.5的pH下与胺基反应。较高的pH将导致末端和赖氨酸基团多次聚乙二醇化。醛PEG是蛋白质或肽中n端聚乙二醇化的常用PEG试剂。

显示3个结果中的第 1- 8 个

目录号 产品名称/详细介绍 结构 分子量 CAS 价格
221801 八臂聚乙二醇醛基 8ARM-PEG-CHO 10000 N/A
¥1092
/ 500mg
221802 八臂聚乙二醇醛基 8ARM-PEG-CHO 20000 N/A
¥1092
/ 500mg
221803 八臂聚乙二醇醛基 8ARM-PEG-CHO 40000 N/A
¥1092
/ 500mg